新聞熱線:0855-8222000
按照國務院聯防聯控機制綜合組和省有關部門的統一安排部署,黔東南州啟動新冠病毒疫苗加強免疫免費接種服務。根據疫情防控需要,在全程接種2劑次新冠病毒滅活疫苗滿6個月的18歲及以上人群實施加強免疫接種。優先對新冠肺炎感染高風險人群和保障社會基本運行的關鍵崗位人員中開展加強免疫。同時,各縣(市)結合實際,統籌考慮其他符合條件且有接種需要的人群提供加強免疫接種服務。
針對大家關心的問題,黔東南州衛生健康局進行了梳理:
一、請提前聯系接種點,是否有適合你接種的疫苗?
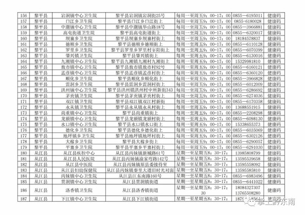
因受疫苗供應影響,在您去接種點接種前,請您提前咨詢接種點,是否有適合你接種的疫苗,避免您到接種點后沒有相應的疫苗而跑空。全州264個接種點的聯系方式見附表。
二、加強免疫是否收費?
新冠病毒疫苗加強免疫實施居民免費接種。
三、什么是加強免疫?
加強免疫是指在完成疫苗接種后,根據抗體消退的情況進行補充接種,保持人體對病毒免疫力的疫苗劑次。比如現階段新冠病毒滅活疫苗全程接種2劑次,根據人體抗體水平下降的程度,再進行1劑次接種,就叫加強免疫。
四、如何選擇疫苗加強免疫?
當前可用于實施加強免疫接種的疫苗有國藥中生北京公司、北京科興公司、國藥中生武漢公司的滅活疫苗和天津康希諾公司的腺病毒載體疫苗。使用同一種新冠病毒滅活疫苗完成兩劑次接種的人群,原則上使用原滅活疫苗進行1劑次加強免疫;使用不同滅活疫苗完成兩劑次接種的人群,原則上優先使用與第2劑次滅活疫苗相同的疫苗進行1劑次加強免疫,如遇第2劑次相同疫苗無法繼續供應等情況,可使用與第1劑次滅活疫苗相同的疫苗進行1劑次加強免疫。使用腺病毒載體疫苗接種的人群,使用原疫苗進行加強免疫。
五、為什么要開展加強免疫?
當前,全球新冠肺炎疫情仍然持續地發展,新冠病毒加速變異傳播,近期多地發生的由境外輸入引發本土聚集性疫情,我國“外防輸入、內防反彈”仍然面臨著較大的壓力。
根據國內外研究結果來看,新冠病毒疫苗完成全程接種后,在預防感染、減少發病和預防重癥、預防住院、預防死亡方面效果顯著。但疫苗接種一段時間后,存在疫苗對一些人員保護效果減弱的情況,加強免疫可以使已經逐步減少的中和抗體快速增長或反彈,從而產生更好的保護效果。
六、其他注意事項
1.接種前,記得帶好身份證,佩戴一次性醫用外科口罩。
2.接種時,廣大群眾要認真接受健康狀況詢問與接種禁忌核查,簽署《新冠病毒疫苗接種知情同意書》,嚴格避免禁忌癥,如果之前接種新冠病毒疫苗,出現了過敏反應,不管是第一針還是第二針,作為禁忌對象后就不能再接種加強針。同時,配合接種人員做好“三查七對一驗證”。
3.接種完成后,受種者應在接種現場留觀至少30分鐘,無不適方可離開。有少數人會出現輕微的一般反應,如接種部位觸痛、發熱、頭痛、全身酸痛,這些一般不需要去醫院就診,注意休息,一般在1-2天會自行緩解。但若感覺癥狀較重,持續時間較長,則建議受種者要及時去醫院進行診治。
全州264個接種點的聯系方式















黔東南州融媒體中心記者:楊光莉 吳銘瑩
凡本網注明“來源:黔東南信息港”的所有作品,均為黔東南信息港合法擁有版權或有權使用的作品,未經本網授權不得轉載、摘編或利用其它方式使用上述作品。已經本網授權使用作品的,應在授權范圍內使用,并注明“來源:黔東南信息港”。違反上述聲明者,本網將追究其相關法律責任。
凡本網注明“來源:XXX(非黔東南信息港)”的作品,均轉載自其它媒體,轉載目的在于傳遞更多信息,并不代表本網贊同其觀點和對其真實性負責。